Halo, Statistician!
Dalam dunia penelitian, khususnya di bidang sosial, ekonomi, dan manajemen, kita sering dihadapkan pada permasalahan yang melibatkan banyak variabel yang saling berhubungan, tidak hanya hubungan sederhana antar dua variabel, tetapi juga hubungan yang kompleks melibatkan variabel perantara, bahkan variabel yang tidak dapat diukur secara langsung. Permasalahan seperti ini tidak dapat diselesaikan hanya dengan metode regresi biasa. Diperlukan suatu pendekatan yang mampu memodelkan hubungan yang kompleks sekaligus mempertimbangkan adanya variabel laten. Oleh karena itu, berkembanglah metode Structural Equation Modeling (SEM) sebagai solusi dalam analisis hubungan multivariat. Salah satu pendekatan SEM yang saat ini banyak digunakan adalah Partial Least Squares – SEM (PLS-SEM). Metode ini dikenal lebih fleksibel dibandingkan SEM berbasis kovarians karena tidak memerlukan asumsi distribusi normal yang ketat serta dapat digunakan pada ukuran sampel yang relatif kecil. Hal ini menjadikan PLS-SEM sangat populer di kalangan mahasiswa maupun peneliti dalam mengembangkan model penelitian
📌 Konsep Dasar PLS-SEM
PLS-SEM merupakan metode analisis berbasis varians yang digunakan untuk menguji hubungan antar variabel laten. Dalam pendekatan ini, variabel yang digunakan tidak selalu dapat diukur secara langsung, melainkan direpresentasikan oleh beberapa indikator yang disebut sebagai variabel manifest. Model dalam PLS-SEM secara umum terdiri dari dua bagian utama, yaitu model pengukuran (outer model) dan model struktural (inner model). Kedua bagian ini saling berkaitan dan membentuk suatu kerangka analisis yang utuh. Outer model menjelaskan bagaimana variabel laten diukur melalui indikatornya, sedangkan inner model menjelaskan hubungan antar variabel laten itu sendiri. Dengan kata lain, PLS-SEM tidak hanya melihat hubungan antar variabel, tetapi juga memastikan bahwa alat ukur yang digunakan sudah valid dan reliabel
Model Pengukuran (Outer Model)
Outer model merupakan bagian dari PLS-SEM yang menggambarkan hubungan antara variabel laten dengan indikator-indikatornya. Dalam praktiknya, hubungan ini dapat bersifat reflektif maupun formatif, tergantung pada arah hubungan antara konstruk dan indikator. Pada model reflektif, indikator dianggap sebagai refleksi dari variabel laten, sehingga perubahan pada variabel laten akan memengaruhi indikatornya. Sebaliknya, pada model formatif, indikator justru membentuk variabel laten. Secara matematis, hubungan dalam outer model dapat dituliskan sebagai berikut:
Untuk indikator eksogen:
Untuk indikator endogen:
Persamaan tersebut menunjukkan bahwa indikator dipengaruhi oleh variabel laten melalui loading factor (λ) serta mengandung error pengukuran.
Model Struktural (Inner Model)
Inner model menggambarkan hubungan antar variabel laten dalam suatu model penelitian. Model ini menjadi inti dari analisis karena digunakan untuk menguji hipotesis penelitian.
Hubungan antar variabel laten dalam inner model dapat dituliskan sebagai:
Persamaan ini menunjukkan bahwa variabel laten endogen dipengaruhi oleh variabel laten lain melalui koefisien jalur (β dan γ) serta error struktural (ζ). Dengan demikian, inner model membantu dalam memahami arah dan kekuatan hubungan antar konstruk.
📊 Evaluasi Model dalam PLS-SEM
Setelah model dibangun, langkah selanjutnya adalah melakukan evaluasi untuk memastikan bahwa model yang digunakan sudah layak. Evaluasi ini dilakukan terhadap outer model dan inner model. Pada outer model, evaluasi difokuskan pada validitas dan reliabilitas indikator. Salah satu ukuran yang digunakan adalah Average Variance Extracted (AVE) yang menunjukkan seberapa besar variansi indikator yang dapat dijelaskan oleh variabel laten. Secara matematis, AVE dirumuskan sebagai:
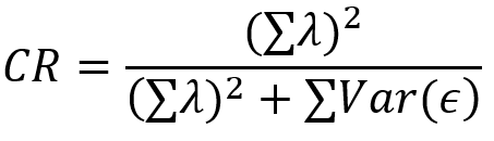
Selain itu, digunakan juga Composite Reliability (CR) untuk mengukur konsistensi internal indikator:
Nilai-nilai ini menjadi dasar dalam menentukan apakah indikator yang digunakan sudah cukup baik dalam merepresentasikan konstruk Sementara itu, pada inner model, evaluasi dilakukan dengan melihat nilai R-Square (R²) yang menunjukkan kemampuan variabel independen dalam menjelaskan variabel dependen. Semakin besar nilai R², maka semakin baik model dalam menjelaskan fenomena yang diteliti. Selain itu, pengujian signifikansi hubungan dilakukan melalui prosedur bootstrapping, yang menghasilkan nilai statistik uji untuk setiap hubungan dalam model
💻 Implementasi Menggunakan SmartPLS 4
Dalam praktiknya, analisis PLS-SEM banyak dilakukan menggunakan software SmartPLS 4. Software ini dirancang khusus untuk mempermudah proses pemodelan SEM berbasis varians. Proses analisis dimulai dengan membangun model konseptual, yaitu dengan menentukan variabel laten dan indikatornya. Setelah itu, peneliti menentukan jenis model pengukuran, apakah reflektif atau formatif. Selanjutnya, dilakukan estimasi model menggunakan algoritma PLS untuk mendapatkan nilai loading factor dan koefisien jalur. Tahap berikutnya adalah evaluasi model, baik outer model maupun inner model. Jika model telah memenuhi kriteria yang ditentukan, maka langkah terakhir adalah melakukan bootstrapping untuk menguji signifikansi hubungan antar variabel. Melalui tahapan ini, peneliti dapat memperoleh hasil analisis yang komprehensif, mulai dari kualitas pengukuran hingga kekuatan hubungan antar variabel
📝 Kesimpulan
PLS-SEM merupakan metode analisis yang sangat powerfull dalam statistika modern, terutama untuk menangani model yang kompleks dan melibatkan variabel laten. Dengan pendekatan berbasis varians, metode ini memberikan fleksibilitas yang tinggi dalam analisis data, baik dari segi asumsi maupun ukuran sampel. Melalui bantuan software seperti SmartPLS 4, proses analisis menjadi lebih sistematis dan mudah dilakukan. Oleh karena itu, PLS-SEM menjadi salah satu metode yang sangat relevan untuk digunakan dalam penelitian saat ini.
Sumber:
1. Reny Rian Marliana, S.Si., M.Stat. (2026). Workshop: Unlocking Research Power with SmartPLS 4 – Step by Step PLS-SEM Analysis – Pojok Statistik Unisba (https://www.youtube.com/live/FQVvbRGBhvw?si=fMxpGz4PF0fW2PCS)









