Tabel kontingensi merupakan tabel ringkasan data dua variabel kategori. Tabel kontingensi sangat berguna ketika jumlah pengamatan besar perlu diringkas ke dalam bentuk tabel sederhana. Ringkasan data dilakukan dengan menghitung jumlah observasi yang diamati untuk setiap level dari variabel kategori. Terdapat beberapa tujuan tabel kontingensi diantaranya untuk mengukur independensi yaitu apakah salah satu variabel kategori kontingen atau bergantung pada variabel kategori lainnya (uji chi-squared) dan untuk mengukur asosiasi yang menggambarkan kekuatan dependensi antara dua peubah acak biner (odds ratio dan relative risk).
Uji Independensi
- Hipotesis Uji
H0 : Kedua variabel kategori independen (tidak ada asosiasi).
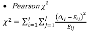
H1 : Kedua variabel kategori dependen (ada berasosiasi). - Statistik Uji
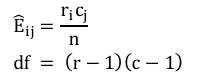
dengan
- Kriteria Uji
Jika nilai X > X alpha kuadrat maka tolak H0.
Jika nilai G > X alpha kuadrat maka tolak H0.
Ukuran Asosiasi
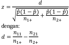
Perbedaan proporsi membandingkan frekuensi relatif karakteristik penting diantara dua kelompok.
- Hipotesis Uji
H0 : δ=0 (tidak ada perbedaan proporsi).
H1 : δ≠0 (ada perbedaan proporsi). - Statistik Uji
- Kriteria Uji
Jika nilai z2 > X alpha kuadrat maka tolak H0. - Relative Risk
Relative risk adalah rasio peluang bersyarat yang relevan. - Hipotesis Uji
H0 : ρ=1 (independen).
H1 : ρ≠1 (dependen). - Statistik Uji
- Kriteria Uji
Jika nilai z > zα/2 maka tolak H0 - Odds Ratio
Odds adalah rasio peluang kejadian sukses dengan kejadian tidak sukses dari variabel respon. Jika odds = 1 maka kejadian sukses dan gagal adalah sama.
Jika odds > 1 maka sukses lebih mungkin terjadi dibandingkan gagal.
Jika odds < 1 maka sukses lebih kecil kemungkinan terjadinya dibandingkan gagal.











